学术活动信息-现金网官网





  2026/2/11 22:15:49
 
english          现金网官网-皇冠现金官网hga2020 |    
   您的位置:学术活动  >> 信息
 
粮油所在棉花早熟性研究领域取得新进展
作者:贾晓昀   审核:闫龙   编辑:段鹏伟   上传:贾沛雯   发布时间:2023/1/31 17:29:09   信息来源:粮油作物研究所


早熟性是当前机采棉育种的关键目标性状,对提高机采效率、实现植棉全程机械化有重要影响。第一果枝节位(node of the first fruiting branch,nffb)是鉴定棉花早熟性的可靠指标,年度间稳定性好,而且受病虫害影响较小。因此,挖掘nffb相关调控基因,有助于进一步了解棉花早熟性的分子调控机理,促进机采棉育种。
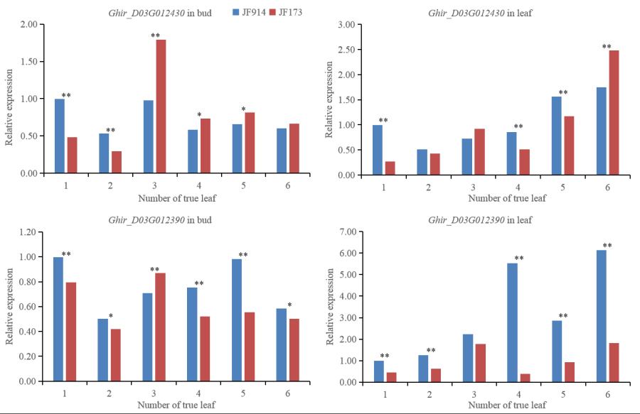
        近日,粮油所棉花育种研究室在《frontiers in plant science》上在线发表了题为“qtl mapping and bsa-seq map a major qtl for the node of the first fruiting branch in cotton”的研究论文。本研究以中熟型国审品种冀丰914(nffb 8-9节)为母本,以早熟型品种冀丰173(nffb 4-5节)为父本构建分离群体,结合高密度snp遗传图谱,在f2、f3和f4群体中定位到13个nffb相关qtl,其中qnffb-d3-1的稳定性最好、贡献率最高,长度约24.7 mb(17 130 008-41 839 226 bp)。同时,在f4群体中选择一个株型接近冀丰914、nffb 4-5节的株系为母本,与冀丰914回交,构建bc1f2群体,利用bsa-seq在d3染色体上定位到2个与nffb相关的区段,长度约92.4 kb(41 779 195-41 836 120 bp和41 836 768-41 872 287 bp),位置与qnffb-d3-1重叠,共有8个基因。荧光定量结果表明,冀丰173中ghir_d03g012430基因在1-2叶期顶芽的表达量低于冀丰914,在3-6叶期顶芽的表达量急剧增加且显著高于冀丰914。ghir_d03g012390基因分别在冀丰173的3叶期顶芽和冀丰914的5叶期顶芽的表达量最高。根据文献报道,ghir_d03g012430基因参与细胞的不对称分裂和发育,ghir_d03g012390基因参与细胞衰老,并且d3染色体与棉花早熟性密切相关。由于冀丰173的nffb形成时间早于冀丰914。因此推测,ghir_d03g012430和ghir_d03g012390可能参与调控nffb的形成,影响棉花的早熟性。
       


       


       

        粮油所棉花育种研究室贾晓昀博士为第一作者,李妙研究员为通讯作者。该研究得到河北省农林科学院基本科研业务费(2021060206)、国家自然科学基金(32201758)、河北省现代农业产业技术体系(hbct2018040202)、河北省农林科学院科技创新专项(2022kjcxzx-lys-14)等项目的资助。
        论文发表地址:
       



上一条

关键词:粮油所,棉花,早熟性研究,新进展阅读:1992
相关信息              
   棉花学会2013年年会 湖南农科院棉花所 2013/12/18
    棉花研究所 2013/12/23
   学习新疆植棉经验,发展河北棉花研讨会 棉花研究所 2013/12/23
    棉花研究所 2014/1/10
    棉花研究所 2014/1/10
 




网站地图